当前位置:首页 > 专家推荐 > 正文
  • 108.窑炉系统内气体流动过程的阻力损失可分为几种?如何计算?
  •        窑炉系统内气体流动过程的(阻力)损失可分为:摩擦阻力损失、局部阻力损失和负位压头损失。

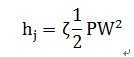
    摩擦阻力损失发生的原因是:由于气体在流动过程中与管道的壁面产生摩擦要消耗能量而损失的压头。属于不可逆损失(流体的机械能转化为热能)。摩擦阻力损失与气体的动压力W的平方成正比,与单位面积上的压力P成正比,与管道的长度L成正比(故也称沿程阻力损失),与管道的当量直径D成反比。可按下式计算:

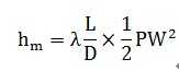
    局部阻力损失发生的原因是:由于气体在流动过程中与管道内某些障碍物如弯头、断面扩大、断面收缩、入口、出口及阀门等发生冲击,引起涡流,而造成的能量(压头)损失。属于不可逆损失(流体的机械能转化为热能)。其大小与局部阻力系数和单位面价上的压力P成正比、与气体的动压头的平方成正比。可按下式计算:

    负位压头损失发生的原因是:由于热气流在垂直烟道内向下流动时,几何压头增加,几何压头属于机械能,在上升过程中基本可以恢复,由于温度可能下降,进行阻力计算时必须考虑。烟道中心高度为Z时负位压头损失的大小可按下式计算:

    注意:气体向下流动时,Z为正;气体向上流动时Z为负,此时几何压头称为推动力。